PATRONES DE RIQUEZA Y DIVERSIDAD DE ESPECIES VEGETALES EN UN GRADIENTE ALTITUDINAL EN GUERRERO, MÉXICO
Palabras clave:
patrones florísticos, riqueza de especies, bosque mesófilo me montaña, cuenca de rio BalsasResumen
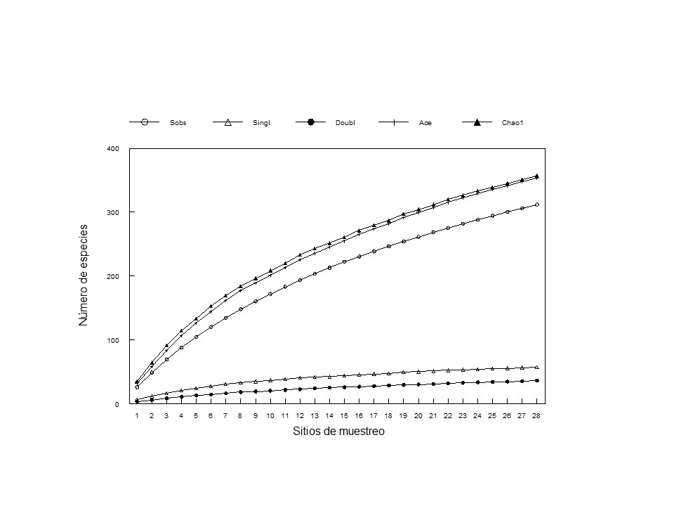
El área de estudio abarca localidades del Cañón del Zopilote y Carrizal de Bravo, pertenecientes a la cuenca del río Balsas, Guerrero, México. El trabajo de campo se desarrolló de marzo de 2011 a marzo de 2013. Se establecieron seis parcelas (6 x 1,000 m2=6,000 m2) en cada tipo de vegetación a lo largo del gradiente de altitud (450 a 2,800 m) para el muestreo de especies arbóreas, arbustivas y herbáceas. La riqueza total en el gradiente altitudinal fue de 310 especies incluidas en cinco tipos de vegetación (bosque tropical caducifolio: BTC, palmar, bosque de Quercus: BQ, bosque de Pinus: BP y bosque mesófilo de montaña: BMM). Se observó un patrón de U, donde la riqueza y diversidad total de especies fue mayor en los extremos del gradiente altitudinal y menor en la parte intermedia. La tasa de reemplazo de especies (diversidad beta) fue de 100 % en BTC y BMM, los cuales se ubican en el extremo inferior y superior del gradiente de altitud estudiado. Las variables ambientales con mayor relación con los valores de riqueza y diversidad de especies son las variables edáficas (contenido de arena, fósforo y capacidad de intercambio catiónico: CIC) y la altitud.Referencias
Ávila-Sánchez, P., A. Sánchez-González y C. Catalán-Heverástico, 2010. “Estructura y composición de la vegetación del Cañón del Zopilote, Guerrero, México”. Rev. Chapingo, Ser. Cienc. Forest. Amb., 16(2): 119-138.
Bach, C., M. Shave, S. Beck, G. Gerold, S. R. Gradstein y R. M. Morales, 2003. “Vegetación suelos y clima en los diferentes pisos altitudinales de un bosque montano de Yugas, Bolivia”. Ecol. Boliv., 38: 3-14.
Carreto-Pérez, B. E., A. Almazán-Juárez, P. Sierra-Morales y R. C. Almazán-Núñez, 2015. “Estudio florístico de la cuenca baja del río Papagayo, Guerrero, México”. Polibotánica, 40: 1-27.
Catalán-Heverástico, C., M. L. López y T. Terrazas, 2003. “Estructura, composición florística y diversidad de especies leñosas en un bosque mesófilo de montaña de Guerrero, México”. An. Inst. Biol. UNAM, Serie Botánica, 74: 209-230.
Challenger, A. y J. Soberon, 2008. “Utilización y conservación de los ecosistemas terrestres de México. Pasado, presente y futuro. Comisión Nacional para el Conocimiento y uso de la Biodiversidad”. México, D.F., México. 197 p.
Chazdon, R. L., R. K. Colwell, J. S Denslow y M. R. Guariguata, 1998. “Statistical methods for estimating species richness of woody regeneration in primary and secondary rain forests of NE Costa Rica”. In: Dallmeier, F y J. A. Comiskey (eds.). Forest biodiversity research, monitoring and modeling: Conceptual background and Old World case studies. Parthenon Publishing. Paris, Francia. pp. 285-309.
Colwell, R. K, 2006. “EstimateS: statistical estimation of species richness and shared species from samples”. Version 8. User’s guide and application published at: http://viceroy.eeb.uconn.edu/
Fernández, N. F., J. C. Rodríguez, S. M. C. Arreguín y J. A. Rodríguez, 1998. “Listado florístico de la cuenca del río Balsas, México”. Polibotánica, 9: 1-151.
García, E, 1973. “Modificaciones al sistema de clasificación climática de Koppen”. Offset Larios, México, D.F.
García, F., L. Arredondo-Amezqua, y G. Ibarra-Manríquez, 2007. “Riqueza y diversidad de especies leñosas del bosque tropical caducifolio El Tarimo, cuenca del Balsas, Guerrero”. Rev. Mex. Bio., 78: 129-139.
Grytnes, J. A., O. R.Vetaas, L. Stone, 2002. “Species Richness and Altitude: A Comparison between Null Models and Interpolated Plant Species Richness along the Himalayan Altitudinal Gradient, Nepal”. The American Naturalist, 159(3), 294–304.
Grytnes, J. A. y J. H. Beaman, 2006. “Elevational species richness for vascular plants on Mount Kinabalu, Borneo”. J. Biogeography, 33:1838-1849.
Hamilton, A. C. y R. A. Perrot, 1981. “A study of altitudinal zonation in the montane forest belt of Mt Elgon, Kenia/Uganda”. Vegetation, 45: 107-125.
Inegi, 2009. “Prontuario de información geográfica municipal de los Estados Unidos Mexicanos. Leonardo bravo, Guerrero”. México. 9 p.
Inegi, 2009. “Prontuario de información geográfica municipal de los Estados Unidos Mexicanos. Eduardo Neri, Guerrero”. México. 9 p.
Jiménez, R, J., M. Martínez, G., S. Valencia, A., R. Cruz, D., J. L. Contreras, J., E. Moreno, G., J. Calónico, S, 2003. “Estudio florístico del Municipio Eduardo Neri, Guerrero”. An. Inst. Biol. UNAM, Serie Botánica, 74(1): 79-142.
Jump A. S., C. Matyas, y J. Peñuelas, 2009. “The altitud-for-latitude disparity in the range retractions of woody species”. Trends Ecol. Evol., 24(12): 694-701.
Kallimanis, A. S., V. Ragia, S. P. Sgardelisy J. D. Pantis, 2007. “Using regression trees to predict alpha diversity based upon geographical and habitat characteristics”. Biodivers. Conserv., 16: 3863-3876.
Kessler, M., J. Grytnes, S. R. P. Halloy, J. Kluge, T. Krömer, B. León, J. M. Macía, K. R. Young, 2012. “Cap. 14. Gradientes de diversidad vegetal: patrones y procesos locales”. En: Herzog, S., Martínes, R., Jorgensen, P. M., Tiessen, H. Cambio climático y diversidad en los andes tropicales. Instituto interamericano para la investigación del cambio global (IAI) y comité científico para los problemas del medio ambiente (SCOPE). Paris. 426 p.
Koleff, P., K. J. Gaston, y J. J. Lennon, 2003. “Measuring beta diversity for presence-absence data”. J. Animal Ecol., 72: 367-382.
Körner, C, 2007. “The use of ´altitude` in ecological research”. Trends Ecol. Evol., 22(11): 569-574.
Lot, A., y F. Chiang, 1986. “Manual de Herbario: administración y manejo de colecciones, técnicas de recolección y preparación de ejemplares botánicos”. Consejo Nacional de Ciencia y Tecnología. México, DF. 142 pp.
Macía, M. J. y J. Fuertes, 2008. “Composición florística y estructura de los árboles en un bosque tropical montano de la cordillera Mosetenes, Bolivia”. Rev. Bol. Ecol. Cons. Amb., 23: 1-14.
Moody, A. y R. K. Meentemeyer, 2001. “Enviromental factor influencing spatial pattern of shrub diversity in Chaparral, Santa Ynez Mountains, California”. J. Veg. Sci., 12: 41-52.
Norma Oficial Mexicana NOM-059-ECOL-SEMARNAT-2010. “Protección ambiental-Especies nativas de México de flora y fauna silvestres-Categorías de riesgo y especificaciones para su inclusión, exclusión o cambio-Lista de especies en riesgo”. Secretaría del Medio Ambiente y Recursos Naturales. Diario Oficial de la Federación. Segunda Sección. México, DF. 78 p.
Ohmann, L. J. y A. T. Spies, 1998. “Regional gradient analysis and spatial pattern of woody plant communities of Oregon forest”. Ecological Monographs, 68: 151-182.
Pausas, J. G. y M. P. Austin, 2001. “Patterns of plant species richness in relation to different environments: an appraisal”. J. Veg. Sci., 12: 153-166.
Pennington, T.D. y J. Sarukhán, 2005. “Árboles tropicales de México. Manual para la identificación de las principales especies”. 3a ed. UNAM-Fondo de Cultura Económica. México, DF.
Peralta, G. S, 1995. “Cañón del Zopilote (Área Papalotepec)”. En: Estudios Florísticos en Guerrero. Diego-Pérez, N y Fonseca, R.M. (eds.). Las Prensas de Ciencias. Facultad de Ciencias, UNAM. 37 p.
Pineda-García, F., L. Arredondo-Amezcua, G. Ibarra-Manríquez, 2007. “Riqueza y diversidad de especies leñosas del bosque tropical caducifolio El Tarimo, Cuenca del Balsas, Guerrero”. Rev. Mex. Biodiversidad, 78: 129-139.
Rahbek, C, 1995. “The elevational gradient of species richness: a uniform pattern”. Ecography, 18: 200-205.
Rahbek, C, 2005. “The role of spatial scale and the perception of large-scale species-richness patterns”. Ecol. Letters, 8:224-239.
Reyes-García, T., F. S. Maradiaga-Ceceña, C. Catalán-Heverástico, P. Ávila-Sánchez y J. Jiménez-Hernández, 2012. “Flora leñosa del municipio de Cocula, Guerrero, México”. Polibotánica, 34: 21-49.
Richter, M, 2008. “Tropical Mountain forests – distribution and general features”. En: Gradstein, S.R., Homeier, J. and Gansert, D. (eds.). The tropical Mountain Forest – Patterns and Processes in a Biodiversity Hotspot. Göttingen Centre for Biodiversity and Ecology. The Biodiversity and Ecology Series 2: 7-24.
Rodríguez, J. C., N. R. Fernández, S. M. L. Arreguín, y J. A. Rodríguez, 2005. “Plantas vasculares endémicas de la cuenca del río Balsas, México”. Polibotánica, 20: 73-99.
Rzedowski, J, 1978. “La vegetación de México”. Limusa. México, D.F., México. 432 p.
Rzedowski, J, 1991. “El endemismo en la flora fanerogámica mexicana: Una apreciación analítica preliminar”. Acta Bot. Mex., 15: 47-64.
Rzedowski, J., L. R. Medina, y G. Calderón de Rzedowski, 2004. “Las especies de Bursera (Burseraceae) en la cuenca superior del río Papaloapan (México)”. Acta Bot. Mex., 66: 23-151.
Rzedowski, J., R. Medina y G. Calderón de Rzedowski, 2005. “Inventario del conocimiento taxonómico, así como de la diversidad y del endemismo regionales de las especies mexicanas de Bursera (Burseraceae)”. Acta Bot. Mex., 70: 85-111.
Sánchez-González, A. y L. López-Mata, 2005. “Plant species richness and diversity along an altitudinal gradient in the Sierra Nevada, Mexico”. Diversity and Distribution, 11: 567-575.
Sanders, J. N, 2002. “Elevational gradients in ant species richness: area, geometry, and Rapaport’s rule”. Ecography, 25: 25-32.
Sang, W, 2009”. Plant diversity patterns and their relationships with soil and climatic factors along an altitudinal gradient in the middleTianshanMountain area, Xinjiang, China”. Ecol. Research, 24: 303-314.
Slik, J. W. F., N. Raes, A. Shin-Ichiro, F. Q Brearley, C. H. Cannon, E. Meijaard, H. Nagamasu, R. Nilus, G. Paoli, A. D. Poulsen, D. Sheil, E. Suzuki, J. L. Valkenburg, C. O. Webb, P. Wilkie y S. Wulffraat, 2009. “Enviromental correlates for tropical tree diversity and distribution patterns in Borneo”. Diversity and Distributions, 15: 523-532.
Vázquez, G. J. A. y T. J. Givnish, 1998. “Altitudinal gradient in tropical forest composition, structure, and diversity in the Sierra de Manantlán”. J. Ecol. 86: 999-1020.
Villaseñor, J. L, 2010. “El bosque húmedo de montaña en México y sus plantas vasculares: catálogo
florístico-taxonómico”. Comisión Nacional para el Conocimiento y Uso de la Biodiversidad - Universidad Nacional Autónoma de México. 40 pp. México, D.F.
Wang, G., G. Zhou, L.Yang y Z. Li, 2002. “Distribution, species diversity and life-form spectra of plant communities along an altitudinal gradient in the northern slopes of Qilianshan Mountains, Gansu, China”. Plant Ecol., 165: 169-181.
Zhu, Y., Y. Jiang, Q. Liu, M. Xiong y M. Kang, 2007. “Altitudinal pattern of vascular plant species richness based on equal-area belts in Mt. Helan”. Biodiversity Sci., 15: 408-418.
Descargas
Archivos adicionales
Publicado
Número
Sección
Licencia
Polibotánica por Departamento de Botánica de la Escuela Nacional de Ciencias Biológicas del Instituto Politécnico Nacional se distribuye bajo una Licencia Creative Commons Atribución-NoComercial-CompartirIgual 4.0 Internacional.

















