Efecto de la restricción de agua edáfica en el potencial de agua y acidez diurna y nocturna de Ferocactus histrix y F. pilosus
Palabras clave:
cactáceas, MAC, ácido málico, riego, Cactaceae, Ferocactus.Resumen
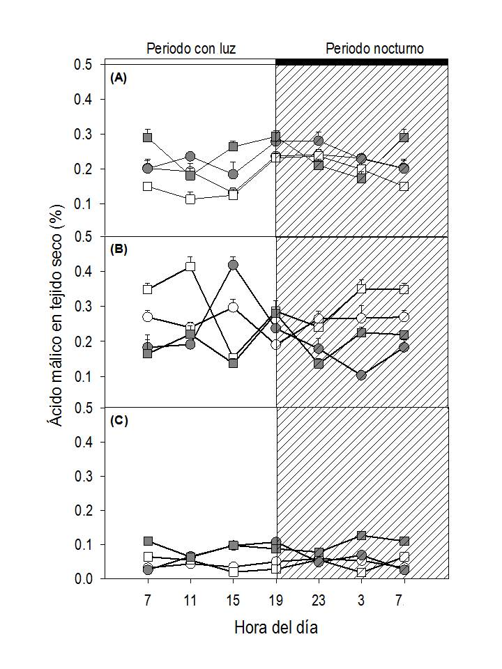
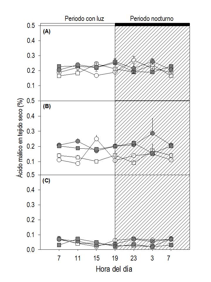
Las plantas de la familia Cactaceae tienen características morfológicas y fisiológicas, como tallos suculentos, espinas, que les permiten reducir la transpiración y son auxiliares en la economía de agua, y el metabolismo ácido del tipo de las Crasuláceas (MAC), que les han permitido adaptarse a ambientes áridos. Ferocactus histrix es una cactácea globosa y F. pilosus tiene tallo columnar, ambas especies están en la norma NOM-059-SEMARNAT 2010, en la categoría de riesgo “Sujetas a protección especial”. Su fisiología se conoce parcialmente. El objetivo del estudio fue evaluar el efecto del riego y su restricción en el potencial de agua (ΨA) del parénquima y clorénquima y en los cambios de su acidez diurna y nocturna de plantas de Ferocactus pilosus y F. histrix. La hipótesis fue que la planta regula positivamente el ΨA de sus tejidos y mantiene los patrones diurnos y nocturnos de acidez, típicos MAC independientemente de la suspensión de riego. Plantas, de cada especie, se mantuvieron con riego semanal o sin él por un año. El estudio se realizó con un diseño experimental completamente al azar. La unidad experimental fue una planta y cuatro unidades se evaluaron cada 4 h por 24 h, a los 3, 6 y 12 meses. El ΨA se midió en parénquima y clorénquima. La acidez de los tejidos se cuantificó por valoración con NaOH. El ΨA del parénquima fue el más afectado por la ausencia de riego y a los 12 meses alcanzó -3.23 y -9.29 MPa en F. histrix y F. pilosus; el contenido nocturno y diurno de ácido málico del clorénquima y parénquima de F. histrix disminuyó (45 y 28% y 33 y 35%); en F. pilosus disminuyó en ambos tejidos (81% en ambas fases y 68.18 y 90.47% en la nocturna). La suspensión de riego por 3, 6 y 12 meses afectó diferente la acumulación de ácido málico en el ciclo de 24 h de los tejidos de Ferocactus, y disminuyó la producción de ácido málico conforme el aumentó el tiempo sin riego. Ambas especies toleraron 12 en esta condición y reactivaron su crecimiento con el riego posterior.Referencias
Adams, P.; D.E. Nelson, S. Yamada, W. Chmara, R.G. Jensen, H.J. Bohnert, y H. Griffiths, 1998. Growth and development of Mesembryanthemum crystallium (Aizoaceae). New Phytologist 138: 171-190
Anderson, E.F., 2001. The Cactus Family. Timber Press, Inc. Portland, Oregon, U.S.A. 766 p.
Andrade, J.L.; E. Barrera, C.R. García, M.F. Ricalde, G. Vargas, y J.C. Cervera, 2007. El metabolismo ácido de las crasuláceas: diversidad, fisiología ambiental y productividad. Boletín de la Sociedad Botánica de México 81:37-50.
Asociación Oficial de Química Analítica, 1990. Official Methods of Analysis, 15th ed. Association of Official Analytical Chemist, Washington, DC, 1141 pp.
Azcón-Bieto, J., y M. Talón, 2008. Fundamentos de Fisiología Vegetal. Mc Graw Hill. Segunda edición. McGraw-Hill/Interamericana de España, Universidad de Barcelona. 651 p.
Borland, A.M.; Z.A. Barrera, J. Ceusters, y K. Shorrock, 2011. The photosynthetic plasticity of crassulacean acid metabolism: an evolutionary innovation for sustainable productivity in a changing world. New Phytologist 191:619-633.
Bravo-Hollis, H., y H. Sánchez-Mejorada, 1991. Las Cactáceas de México. 2ª. ed. Vol. 2. Universidad Nacional Autónoma de México.
Bronson D.R., Englisn N.B., Dettman D.L., y D.G. Williams, 2011. Seasonal photosynthetic gas exchange and water-use efficiency in a constitutive CAM plant, the giant saguaro cactus (Carnegiea gigantea). Oecologia 167:861-871.
Campos, H.; C. Trejo, C.B. Peña-Valdivia, R. García-Nava, F.V. Conde-Martínez, y M.R. Cruz-Ortega, 2014. Photosynthetic acclimation to drought stress in Agave salmiana Otto ex Salm-Dyck seedlings is largely dependent on thermal dissipation and enhanced electron flux to photosystem I. Photosynthesis Research 122:23-39.
Casierra-Posada F., y M.F. González, 2009. Cambio circadiano de pH y acidez titulable en la savia de fique (Furcraea castilla y F. macrophylla). Orinoquia 13:5-13.
Cushman, J., 2001. Crassulacean acid metabolism. A plastic photosynthetic adaptation to arid enviroment. Plant Physiology 127:1439-1448.
Cushman J.C., y H. Bohnert, 1997. Molecular genetics of crassulacean acid metabolism. Plant Physiology 113:667-676.
Del Castillo, R.F., y S. Trujillo, 1991. Ethnobotany of Ferocactus histrix and Echinocactus platyacantus (Cactaceae) in the semiarid central Mexico: past, present and future. Economic Botany 45:495-502.
Dodd A.N.; A.M. Borland, R.P. Haslam, Griffiths H., and K. Maxwell, 2002. Crassulacean acid metabolism: plastic, fantastic. Journal of Experimental Botany 53:569-580.
Drennan, P.M., y P.S. Nobel, 2000. Responses of CAM species to increasing atmospheric CO2 concentrations. Plant, Cell and Environment 23: 767-781.
FAO. 1997. Factores que amenazan la biodiversidad. www.fao.org/forestry/docrep/PUBLI/V2/TOS/1.5.HTM. Organización de las naciones unidas para la agricultura y la alimentación.
Feakins, S.J., y A.L. Sessions, 2010. Crassulacean acid metabolism influences D/H ratio of leaf wax in succulent plants. Organic Geochemistry 41:1269-1276.
García, E. 2004. Modificaciones al Sistema de Clasificación Climática de Kӧppen. Instituto de Geografía, Universidad Nacional Autónoma de México. México, D.F.
García-Nava F., C.B. Peña-Valdivia, C. Trejo, R. García-Nava, J.A. Reyes-Agüero, y R.J. Aguirre, 2015. Biophysical and physiological characteristics of nopalitos (Opuntia spp., Cactaceae) as influenced by domestication. Genetic Resources and Crop Evolution 62:927-938.
Geydan, T.D., y L.M. Melgarejo, 2005. Metabolismo ácido de las crasuláceas. Acta Biológica Colombiana 10:3-15.
Goldstein, G., J.K. Ortega, A. Nerd, y P.S. Nobel, 1991. Diel patterns of water potential components for the crassulacean acid metabolism plant Opuntia ficus-indica when well-watered or droughted. Plant Physiology 95:274-280.
Hernández, H. 2006. La Vida en los Desiertos Mexicanos. Fondo de Cultura Económico. Secretaría de Educación Pública. Consejo Nacional de Ciencia y Tecnología. México.
Hernández-González, O., y V.O. Briones, 2007. Crassulacean acid metabolism photosynthesis in columnar cactus seedlings during ontogeny: the effect of light on nocturnal acidity accumulation and chlorophyll fluorescence. American Journal of Botany 94:1344-1351.
Izquierdo, A., y D.C. Muñoz, 1995. Eficiencia del uso del agua en tunas (Opuntia ficus-indica (L) Mill.) y factores que la regulan. Tesis Ingeniero Agrónomo, Universidad de Chile. 85 pp.
Keeley, J.E., y S.C. Keeley, 1989. Crassulacean acid metabolism (CAM) in high elevation tropical cactus. Plant, Cell and Environmental 12:331-336.
Larcher, L. 2003. Physiological Plant Ecology. Springer, Heidelberg.
Lin, C.C. 2009. The effects of environmental factors in the induction of crassulacean acid metabolism (CAM) expression in facultative CAM plants. Journal of Undergraduate Life Sciences 3:64-66.
Littlejohn, R.O., y G.J. Williams, 1983. Diurnal and seasonal variations in activity of crassulacean acid metabolism and plant water status in a northern latitude population of Opuntia erinacea. Oecologia 59:83-87.
Lüttge, U., 2004. Ecophysiology of crassulacean acid metabolism (CAM). Annals of Botany 93:629-652.
Lüttge, U., 2006. Photosynthetic flexibility and ecophysiological plasticity: questions and lessons from Clusia, the only CAM tree, in the neotropics. New Phytologist 171:7-25.
Nobel, P.S., 1990. Environmental influences on CO2 uptake by agaves, CAM plants with high productivities. Economic Botany 44:488-502.
Nobel, P.S., 2003. Ecofisiología de Opuntia ficus-indica. En Mondragón-Jacobo C. y Pérez-González S. Eds. El Nopal (Opuntia spp.) como Forraje, pp. 13-20, Organización de las Naciones Unidas para la Agricultura y la Alimentación. Roma.
NOM-059-ECOL-2011. Protección ambiental. Especies nativas de México de flora y fauna silvestres. Categorías de Riesgo y especificaciones para su inclusión, exclusión o cambio. Lista de especies en riesgo. Diario Oficial de la Federación 30 Diciembre 2010, México.
Pimienta-Barrios, E., J. Zañudo-Hernández, y P.S. Nobel, 2005. Effects of young cladodes on the gas exchange of basal cladodes of Opuntia ficus-indica (Cactaceae) under wet and dry conditions. International Journal Plant Science 166:961-968.
Pimienta-Barrios E., Zañudo-Hernández J. y García-Galindo J. 2006. Fotosíntesis estacional en plantas jóvenes de Agave tequilana. Agrociencia 40:699-709.
Ruiz, G. S., C.B. Peña-Valdivia, L.C. Trejo, y A. Sánchez, 2007. Reacción fisiológica del maguey (Agave salmiana Otto ex Salm-Dyck) a la sequía intermitente. Revista de la Facultad de Agronomía (LUZ) 24 (Sup. 1):318-325.
Silva, H., y E. Acevedo, 1995. Eficiencia en el uso del agua en diez taxa de Opuntia introducidas en la región mediterránea de Chile. Revista Chilena de Historia Natural 68:271-282.
Sipes, D.L., y I.P., Ting 1985. Crassulacean acid metabolism and crassulacean acid metabolism modifications in Peperomia camptotricha. Plant Physiology 77:59-63.
Szarek, S.R., y I.P., Ting, 1974. Seasonal patterns of acid metabolism and gas exchange in Opuntia basilaris. Plant Physiology 54:76-81.
Yáñez, L.L., M.A. Armella, y R.R. Soriano, 2009. Estudio de tres cactáceas de la región mixteca: conocimiento para su uso sustentable. 215 p. UAM- Visión Tipográfica.
Archivos adicionales
Publicado
Número
Sección
Licencia
Polibotánica por Departamento de Botánica de la Escuela Nacional de Ciencias Biológicas del Instituto Politécnico Nacional se distribuye bajo una Licencia Creative Commons Atribución-NoComercial-CompartirIgual 4.0 Internacional.

















